免费下载
大小:20.48M
下载:1次
手机扫码免费下载
#千维计算器app V6.8.8简介
千维计算器app是一款功能强大的手机计算软件,在这里用户能够体验到丰富多样的计算功能,除了算术运算之外,用户还可以使用软件进行体脂运算、房贷计算等,而且软件还提供了丰富多样的单位转换,包括时间、速度、面积和重量等。有需求的小伙伴快来下载体验吧!
千维计算器app怎么创建自定义公式
1、首先我们点击下方蓝色按钮中的第一个【自由公式】按钮。
2、接着再点击右上角的【+】,创建自定义公式。
3、第一行填写【公式名称】,第二行填写【公式内容】,填完后点击右上角【√】保存。
4、保存完成后,就可以在【公式列表】最下方看到创建好的公式。
5、点进公式,【输入】对应的数值,即可自动完成计算。
千维计算器app怎么算最小二乘法
1、先把n个数据测量值画在坐标纸上,如果呈现一种直线趋势,才可以进行最小二乘法(直线回归法)。
2、然后就是计算这些n个数据点的横坐标平均值和纵坐标的平均值:
3、接着计算所有点的横坐标求和结果,以及所有点的纵坐标求和结果:
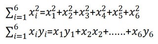
4、然后是计算每个数据点横坐标的平方,然后求和,以及计算每个点横坐标乘以纵坐标的乘积,然后求和:
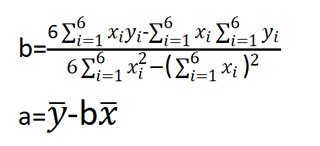
5、最后就是利用两个公式,把将要求的直线方程中的截距a和斜率b这两个参数代入上面的公式计算出来:
6、求出了a和b这两个参数之后,就可以得到直线方程:y=ax+b。这个时候还要利用这个方程,先取两个点,这两个点要求横坐标x1和x2距离比较远,这样误差会比较小(太近的两个点,误差比较大),然后分别代入刚求出来的直线方程y=ax+b,求出对应的y1和y2,然后把(x1,y1)和(x2,y2)描点在坐标纸上,这样就可以利用两点画出一条最终的回归直线了。
7、用户可以按照上述的创建自定义公式方法在千维计算器中创建最小二乘法的公式,然后进行方便计算。
千维计算器app软件特色
1.软件拥有简约的界面设计
2.为用户提供个性化的快捷输入键盘
3.带来了输入即显示的快速换算
4.用户可预订个性化的记忆计算器
5.一键快速科学函数计算器
6.支持国际主流的工程计量单位
7.软件支持小数进制转换
8.带来简约化的自定义参数
9.软件支持功能排序
千维计算器app软件亮点
1.无论用户用来学习还是办公的场景,它都能够带来快速准确的运算结果。
2.软件支持多种常用单位的转换,包括时间、速度、面积和重量等。
3.为用户提供体脂运算,男性和女性的标准不同,测量的结果也会不同。
千维计算器app软件功能
1.软件可以为用户带来最全面的房贷计算,让用户在买房前有预算。
2.软件占用的手机内存小,可以在绝大部分手机上流畅运行。
3.免费使用,无需开会员,计算页面清新简洁,带来舒适的观感。
更新日志
v6.8.8版本
• 自由公式支持管理默认公式
• 优化了用户体验
#千维计算器app V6.8.8截图



